20考研数学必背公式大全(概率论与数学统计)
2019/8/7 15:12:26
来源: 网络
考研数学中,尤其高等数学具有高等的抽象性、系统性等特点,高数有四多:定义多、定理多、公式多、题多。公式是考研数学中必不可少的。所以,牢记一些公式对考研数学做题不可或缺。海天考研网给大家总结了考研必背的公式,记得收藏!
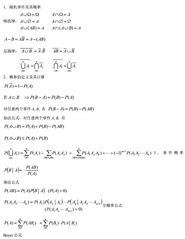
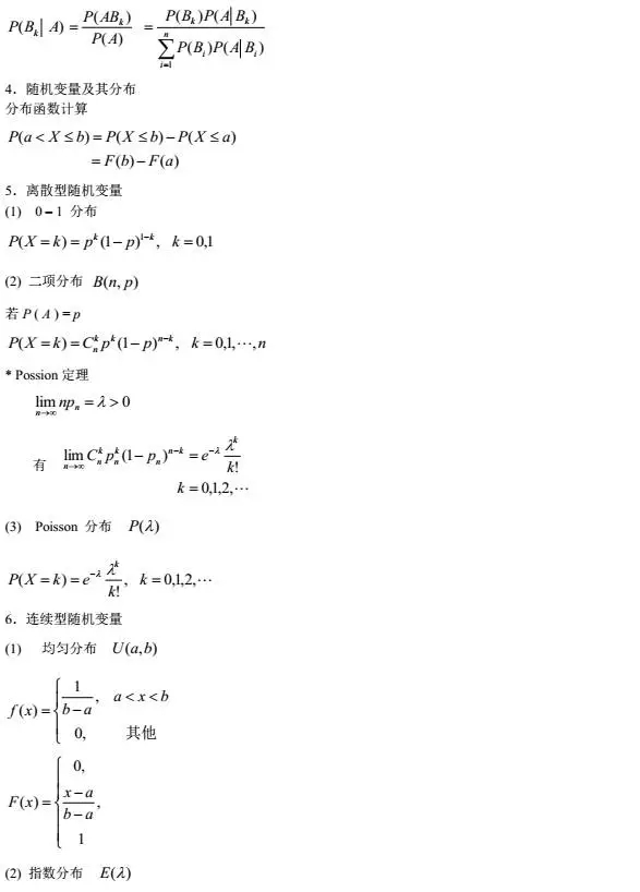
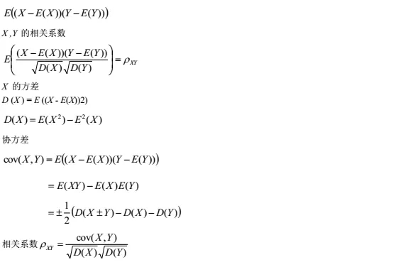
概率论与数学统计






热门推荐



