2020考研数学高数公式总结
2019/11/18 14:51:18
来源: 网络
考研倒计时只有三十多天,考生们要抓住最后的时间备战,为了更好的帮助大家进行高数部分的复习,海天考研网整理了高数的公式,赶紧收藏。
导数公式

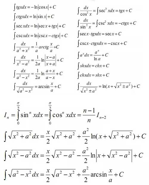
基本积分表公式

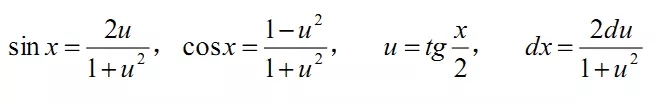
三角函数的有理式积分公式

初等函数公式

极限公式

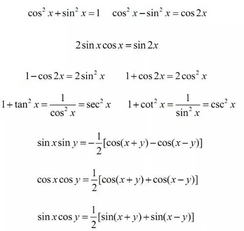
三角函数公式

三角函数诱导公式

常用三角函数公式

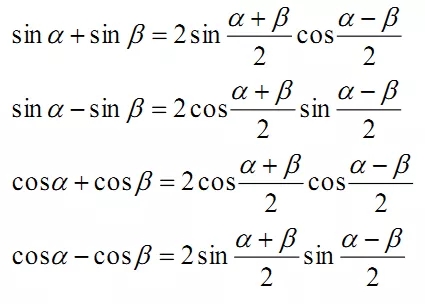
和差化积公式


反三角函数公式

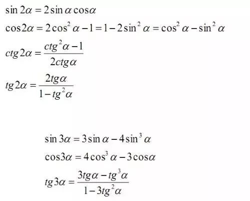
倍角公式

半角公式

布莱尼兹公式

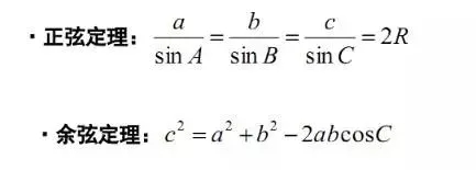
正余弦定理公式


上一篇:四个方法搞定英语翻译中的定语从句
下一篇:21考研:文学考研备考指南
热门推荐



